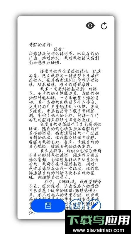
山盒手机版是一个功能丰富的移动端辅助工具,它提供多种便捷服务,用户能够通过它快速生成检讨书,轻松管理手机应用,提取软件内的资源信息,还能转换应用图标,并对文档与图片进行识别操作,整体使用体验流畅高效,有需要的用户可下载安装。

app介绍:
这款工具能详细提取apk的各项信息,体积虽小却具备许多独特功能,让你体验到它的强大之处;它可以扫描手机中所有已安装的软件,并展示出每个应用的图标、版本详情以及其他实用数据,使用起来十分方便。
软件功能:
1、选择任意应用即可进入操作界面,支持资源提取、APK提取以及图标提取等多种功能。
2、下方提供提取内容选项,包括文档、图片、视频等类型,全部免费且安全可靠。
3、安装后软件会自动扫描识别手机内的应用,实现屏幕资源的快速抓取与处理。
4、这是一款体积小巧却充满趣味性的工具,安装包不大但集成的功能相当丰富。
系统亮点:
1、这是一款实用的图片提取工具,能帮助你获取应用的详细信息。
2、如果需要某个软件的图标,可以直接通过这个工具进行提取。
3、它能将桌面上每个软件的具体信息提取出来,让你看得更清晰。


百年人寿安卓版
V2.2.0/
sleeptown官方版
V3.4.1/
北京交警安卓版
V3.6.05/
当准天气中文版
V1.0.4/
灵境ar健身中文版
V10.3.9/
12348重庆法网
V3.1/
喜事请柬
V4.0.5/
能源充电站
V1.0.1.2023.1228.1632/
小蜜蜂官方版
V1.1.8/
桐乡人力网
V2.6.14/