数学工具手机客户端专为数学学习者和爱好者打造,集合了多种实用数学功能,让解题过程变得更简单高效;无论是日常计算还是专业学习,它都能提供有力支持,喜欢的不妨在本站下载。

软件亮点
1、软件在提升趣味性方面有所设计;
2、也能辅助使用者更深入地掌握数学原理;
3、这款应用是一个实用且便捷的数学工具集合;
4、它整合了多种数学功能与辅助模块;
5、能帮助用户迅速处理数学问题;
6、同时也有助于提升使用者的数学理解与应用能力;
7、如果你正在学习数学或对数学感兴趣;
8、这款手机软件值得体验。
软件特色
1、软件内置了丰富的计算工具;
2、例如基础计算器、科学计算器;
3、以及金融计算器等,适应不同场景需要;
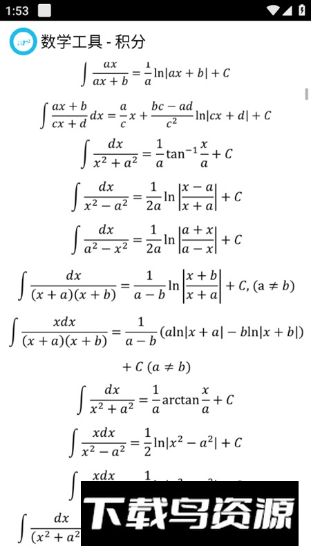
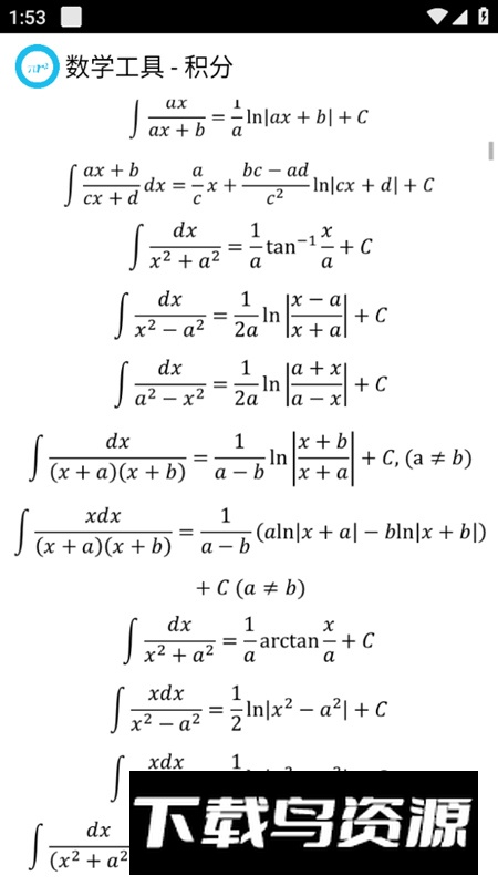
4、同时提供了大量数学公式与图形资源;
5、包括函数图像、三角函数、平面几何等内容;
6、方便用户在应用中随时查阅和学习数学知识。
软件功能
1、软件界面设计清晰直观;
2、用户能够依据个人偏好;
3、自定义主题风格与页面布局;
4、从而更顺畅地使用各项数学工具;
5、软件还配备了多种辅助模块;
6、比如数学游戏、趣味题目与算术练习等。

更新内容
v6.5.6
当前为最新版本。







AnatomyLearning3D解剖学专业版
v3.1.499/
中科智讯软件
v1.2.4/
一二级消防工程师考试宝典app
v84.0/
题王争霸官方版
v3.4.9/
e家校app官方版
v4.20200810/
校内考手机版
v1.1.2/
MBA智库官方版
v8.6.0/
花舞古筝最新版
v1.0.3/
特岗教师练题狗软件
v3.0.1.0/
红绿三点伴app
v1.2.0/